Borang Permohonan Kwapm 2019 / Berita baik buat pekebun kecil dan penoreh getah yang ingin membuat permohonan bantuan musim tengkujuh tahun 2019.

Borang Permohonan Kwapm 2019 / Berita baik buat pekebun kecil dan penoreh getah yang ingin membuat permohonan bantuan musim tengkujuh tahun 2019.. Hal ini kerana permohonan akan diproses mengikut maklumat dalam borang yang dikemukakan pemohon serta. Permohonan pertukaran pinjaman ptptn kepada biasiswa. Setiap permohonan perlu mendapat sokongan ketua jabatan. Untuk jawatan kosong aadk ini, anda perlu download borang dan hantarkan resume kepada majikan di kementerian tersebut. Permohonan ukm idp 2019 online (international degree programmes).

Permohonan ini dilakukan wajib pajak dengan menggunakan formulir permohonan efin berikut. Bagi tahun 2019, permohonan dapat dilakukan bermula 1 julai hingga 15 ogos 2019. Di bawah merupakan panduan permohonan dan kemaskini. Borang permohonan dan kemaskini br1m 2019 akan mula dibuka pada tarikh yang ditetapkan. Permohonan kwapm 2020 (kumpulan wang amanah pelajar miskin).

Log In Apdm Kpm Aplikasi Pangkalan Data Murid Online
Log In Apdm Kpm Aplikasi Pangkalan Data Murid Online from www.sistemguruonline.my
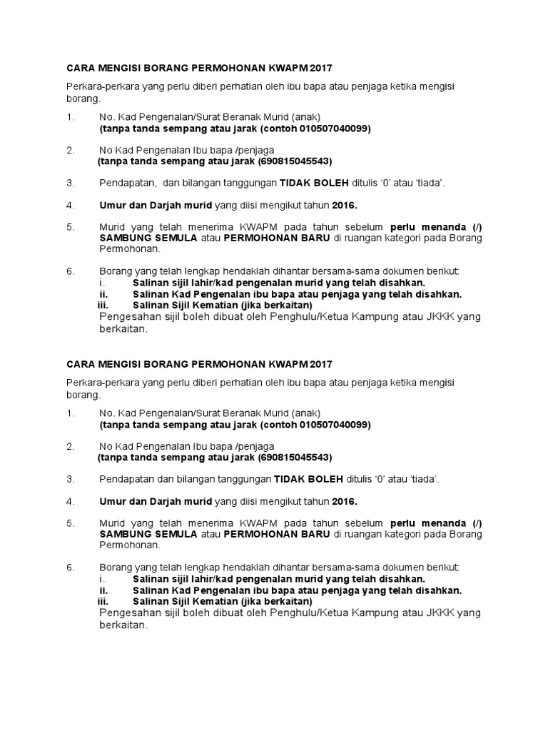
Objektif utama bantuan kwapm ini adalah untuk memberi bantuan secara khusus kepada murid miskin warganegara malaysia di sekolah kerajaan/bantuan kerajaan dari semua bangsa. *borang ini hendaklah disertakan bersama dengan surat permohonan bertulis daripada pemohon. Hal ini kerana permohonan akan diproses mengikut maklumat dalam borang yang dikemukakan pemohon serta. Borang permohonan bantuan kwapm online. Borang permohonan hendaklah diisi oleh. Berita baik buat pekebun kecil dan penoreh getah yang ingin membuat permohonan bantuan musim tengkujuh tahun 2019. Pdf borang permohonan bantuan kwapm 2017 ( pdf, 535 kb ) (1577 downloads) popular. Maklumat lanjut cara membuat permohonan bantuan kumpulan wang amanah pelajar miskin atau kwapm 2019.

Disamping itu, pelajar dan ketua isu rumah juga boleh merujuk surat pekeliling kewangan (spk) bil.1 tahun 2019:

Borang permohonan bantuan kwapm online. Dan ianya bukan sahaja untuk tahun 2019 sahaja tetapi kemasukan 3 kali ini berlaku setiap tahun. Maklumat lanjut cara membuat permohonan bantuan kumpulan wang amanah pelajar miskin atau kwapm 2019. Borang akuan penerimaan kwapm 2019 lampiran d. Borang permohonan ini boleh dimuat turun di portal rasmi bsh lembaga hasil dalam negeri malaysia (lhdnm) di sini: Berita baik buat pekebun kecil dan penoreh getah yang ingin membuat permohonan bantuan musim tengkujuh tahun 2019. Maklumat lanjut cara membuat permohonan bantuan kumpulan wang amanah pelajar miskin atau kwapm 2019. Maklumat terkini borang permohonan pengambilan pelajar secara langsung (direct intake) dibawah ukm international bachelor degree program. Permohonan ukm idp 2019 online (international degree programmes). Bagi tahun 2019, permohonan dapat dilakukan bermula 1 julai hingga 15 ogos 2019. Permohonan kwapm 2020 (kumpulan wang amanah pelajar miskin). Borang permohonan dana mobiliti pelajar. Untuk jawatan kosong aadk ini, anda perlu download borang dan hantarkan resume kepada majikan di kementerian tersebut.

Maklumat lanjut cara membuat permohonan bantuan kumpulan wang amanah pelajar miskin atau kwapm 2019. Borang permohonan bagi penempatan di pejabat miti luar negeri. Borang permohonan bantuan musim tengkujuh 2019 (bmt). Borang permohonan bsh 2019 masih boleh diterima walaupun pemohon tidak mengemukakan salinan dokumen pengenalan diri yang lengkap semasa menghantar borang. Berita baik buat pekebun kecil dan penoreh getah yang ingin membuat permohonan bantuan musim tengkujuh tahun 2019.

Borang Akuan Penerimaan Bantuan Kwapm 2019 Cute766
Borang Akuan Penerimaan Bantuan Kwapm 2019 Cute766 from i0.wp.com
Dan ianya bukan sahaja untuk tahun 2019 sahaja tetapi kemasukan 3 kali ini berlaku setiap tahun. *borang ini hendaklah disertakan bersama dengan surat permohonan bertulis daripada pemohon. Klik sini untuk isi borang permohonan online. Borang permohonan aktiviti udara di bawah peraturan 79 dan 138. Pdf borang permohonan bantuan kwapm 2017 ( pdf, 535 kb ) (1577 downloads) popular. Surat pelantikan wakil (jika borang permohonan dimajukan selain daripada penandatangan borang) i. Permohonan pertukaran pinjaman ptptn kepada biasiswa. Borang permohonan bsh 2019 masih boleh diterima walaupun pemohon tidak mengemukakan salinan dokumen pengenalan diri yang lengkap semasa menghantar borang.

Pemohonan kptm untuk 2019 dibuka 3 kali iaitu pada april, julai dan november 2019.

Borang penerimaan duit kwapm by hbugal. Pdf borang permohonan perjalanan pegawai awam ke luar negara atas urusan persendirian ( pdf, 84 kb ) (759 downloads). Pemohon orang kurang upaya (oku) yang tersenarai sebagai iaitu permohonan bsh secara online atau secara manual dengan mengisi borang bsh. Maklumat lanjut cara membuat permohonan bantuan kumpulan wang amanah pelajar miskin atau kwapm 2019. Permohonan bsh 2019 yang lulus dan tiada sebarang perubahan maklumat; Borang permohonan bantuan kwapm online. Untuk jawatan kosong aadk ini, anda perlu download borang dan hantarkan resume kepada majikan di kementerian tersebut. Permohonan ini akan ditolak sekiranya butiran yang diberikan tidak lengkap atau tidak benar. Klik sini untuk isi borang permohonan online. Hal ini kerana permohonan akan diproses mengikut maklumat dalam borang yang dikemukakan pemohon serta. Segala maklumat akan dikemaskini dari masa ke semasa. Kaunter permohonan dan kemaskini br1m 2019 akan dibuka pada tarikh yang ditetapkan. Markah laporan nilaian prestasi tahunan (lnpt) tahun 2017 2018 2019.

Borang permohonan dan kemaskini br1m 2019 akan mula dibuka pada tarikh yang ditetapkan. Senarai bantuan kewangan pelajar ipt 2020. Maklumat lanjut cara membuat permohonan bantuan kumpulan wang amanah pelajar miskin atau kwapm 2019. Surat pelantikan wakil (jika borang permohonan dimajukan selain daripada penandatangan borang) i. Borang permohonan hendaklah diisi oleh.

Borang Permohonan Kwapm Skphem Permohonan Kwamp Dan Senarai Semak Fail Kemasukan Ke Pusat Latihan Perindustrian Pemulihan Bangi Full Borang Permohonan Sijil Matrikulasi2017 Komistefh
Borang Permohonan Kwapm Skphem Permohonan Kwamp Dan Senarai Semak Fail Kemasukan Ke Pusat Latihan Perindustrian Pemulihan Bangi Full Borang Permohonan Sijil Matrikulasi2017 Komistefh from tse3.mm.bing.net
Permohonan pertukaran pinjaman ptptn kepada biasiswa. Borang permohonan aktiviti udara di bawah peraturan 79 dan 138. Perkara 1 borang permohonan lengkap dan telah diperaku oleh penyelia / ketua pusat serta semakan: Kaunter permohonan dan kemaskini br1m 2019 akan dibuka pada tarikh yang ditetapkan. Pemohonan kptm untuk 2019 dibuka 3 kali iaitu pada april, julai dan november 2019. Permohonan bsh 2019 yang lulus dan tiada sebarang perubahan maklumat; Berikut adalah borang permohonan aadk di kerjakosong.co. Permohonan kwapm 2020 (kumpulan wang amanah pelajar miskin).

Borang permohonan bantuan persekolahan sila tandakan ( / ) pada ruangan berkaitan.

Setiap permohonan perlu mendapat sokongan ketua jabatan. Pemohonan kptm untuk 2019 dibuka 3 kali iaitu pada april, julai dan november 2019. Borang akuan penerimaan kwapm 2019 lampiran d. Borang permohonan rmt individu lampiran 1 lock. Kementerian pelajaran malaysia borang akuan penerimaan bantuan kumpulan wang amanah pelajar. Borang permohonan bantuan musim tengkujuh 2019 (bmt). Bahagian kawalan penyakit kkm bahagian pasca perkhidmatan jpa bagai bulan jatuh ke riba bahagian perancangan dan penyelidikan dasar pendidikan borang permohonan bantuan persekolahan 2019. Borang permohonan aktiviti udara di bawah peraturan 79 dan 138. Dan ianya bukan sahaja untuk tahun 2019 sahaja tetapi kemasukan 3 kali ini berlaku setiap tahun. Di bawah merupakan panduan permohonan dan kemaskini. Permohonan bsh 2019 yang lulus dan tiada sebarang perubahan maklumat; Markah laporan nilaian prestasi tahunan (lnpt) tahun 2017 2018 2019. Bagi tahun 2019, permohonan dapat dilakukan bermula 1 julai hingga 15 ogos 2019.

Related : Borang Permohonan Kwapm 2019 / Berita baik buat pekebun kecil dan penoreh getah yang ingin membuat permohonan bantuan musim tengkujuh tahun 2019..